發布于:2019/9/19 9:34:42 點擊量:149
1 概述
在柱塞式調節閥設計中,閥瓣的型面設計與繪制直接影響調節閥的調節特性。首先以客戶提供的管道需求流量、閥前后壓降、介質工況、管道情況等已知條件選擇調節閥的類型,再依據相應的標準(如GB/T17213.2-2005)計算與確定選用閥門的流量系數CV。再以GB/T17213.2附錄A的提示,可確定出單流路的縮流斷面的總面積和各行程的環形流路的內徑,但繪制閥瓣型面的計算量很大,手工完成繪制比較費工費時。本文提出根據調節閥的調節特性和流體力學原理建立數學模型,并運用計算機完成閥瓣型面繪制的一種方法,以減少調節特性的偏差和縮短設計與制造周期。
2 依據
根據伯努利方程和連續性方程得出不可壓縮流體的體積流量方程式,即
(1)
式中 Qv———流量,m3/min
C———流出系數,節流裝置幾何相似并在相同雷諾數下則其值相同
β———等效節流流路直徑與管道橫截面內直徑之比
A———等效節流流路的面積,mm2
ρ1———入口端的介質平均密度,lb/ft3
ΔP———閥前后壓降值,psi
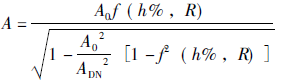
為了簡化計算,忽略紊流狀態下的C值微小變化,調節閥的體積流量Qv與A的關系為
(2)
式中 Q0———最大的體積流量,USgal/min
A0———單流路的節流斷面的總面積(見GB/T17213.2-2005),mm2
(3)
β0———最大等效節流流路直徑與管道橫截面內直徑之比
f(h%,R)———流量特性函數
因此等效節流流路的面積A是由閥瓣開度與可調比及A0組成的函數,即
(4)
式中 h%———閥瓣開度,mm
R———可調比
ADN———管道橫截面積,mm2
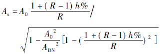
可推導出線性流量特性時Ax和等百分比流量特性時Ab為
(5)
(6)
3 幾何模型的建立
確定閥門流量系數CV值后按式(3)計算出A0,然后根據式(4)針對閥瓣某一閥瓣開度h%時計算出調節閥的閥瓣型面所形成的等效節流流路的面積A。按照圖1所示閥座密封點處畫出一條射線段使其與水平夾角為θ,長度為r。假設此點剛好為此閥瓣開度h%時閥瓣型面上的點,即此射線段所形成的圓臺側面積與A值一樣,即有
(7)
式中 D0———閥座口直徑,mm

1.一條包絡線2.閥座3.閥瓣4.閥瓣型面
圖1 幾何模型原理
對于某一開度h%和節流流路面積A,當夾角θ從0°~90°進行遍歷(為保證精度取18個點),按式(7)計算出對應的r值所形成的射線段端點的集合即為閥瓣型面在此開度的一個包絡線。以此類推,當閥瓣開度從0%~100%進行遍歷(為保證精度,取20條包絡線)就形成一組包絡線集合。在CAD中用一折線(或曲線)按從0%~100%的順序對每個包絡線進行相切,即形成閥瓣型面圖樣。
4 繪制過程流程圖
閥瓣繪制過程如圖2所示,按照此法繪制的閥瓣圖樣與測繪的多種產品相比,差別很小。

圖2 閥瓣繪制過程
5 結語
在設計調節閥的閥瓣型面時,根據不可壓縮流體流量方程式并充分理解調節特性和流量系數的含義,按照幾何模型的推演和依托計算機的計算能力,對閥門的設計效率提高提供了一種可靠的方法。應當指出,任何新閥門的設計最終必須通過實際的驗證才能證明其性能的準確性和可靠性。
本文鏈接:http://m.hx1986.com/news/detail/20190919093442.html
版權所有 © 自力式壓力調節閥-氣動調節閥-電動調節閥-氮封閥廠家 浙ICP備18052799號-2